Amplasarea centralelor generatoare, a liniilor de transport si a posturilor de transformare cere intotdeauna o analiza detaliata pentru a ajunge la o solutie acceptabila si economica. Uneori, se poate plasa o centrala alaturi de sursa de energie primara si se utilizeaza liniile pentru transportul energiei electrice. Cand aceasta solutie nu este practica sau economica, trebuie sa transportam materia prima (carbune, pacura) cu vaporul, trenul, etc. pana la centrala. Centralele pot deci sa fie mai aproape sau mai departe de utilizator.
Exista trei principale tipuri de centrale pentru producerea energiei electrice:
-centrale hidroelectrice;
-centrale termoelectrice;
-centrale nucleare.
Bineinteles ca putem folosi energia vantului, a mareelor, a razelor solare, insa aceste surse de energie nu reprezinta, pentru anii viitori, decat o mica parte din energia totala de care noi avem nevoie. Totul pare a indica ca ne indreptam spre o era nucleara caci la nivel mondial, resursele fosile (cu exceptia carbunelui) incep a se epuiza.
S-a mentionat anterior ca puterea consumata de catre o retea trebuie sa fie furnizata instantaneu de catre generatoare, caci energia electrica nu o putem inmagazina. Cu scopul de a intelege elementele esentiale ale comenzii puterii, consideram o centrala hidraulica izolata alimentand o sarcina Ri (fig.3.1). Apa acumulata de un baraj roteste o turbina, turbina ce antreneaza un generator.
Puterea Pj dezvoltata de catre turbina depinde esential de deschiderea vanelor. Cu cat deschiderea este mai mare cu atat puterea dezvoltata este mai mare. Aceasta putere este transmisa integral rotorului generatorului.
Pe de alta parte, puterea Pc debitata de catre generator depinde exclusiv de cererea de putere a sarcinii. 919d36j Cand puterea mecanica PT furnizata rotorului este egala cu puterea electrica Pc debitata de catre Maior, generatorul este in echilibru si viteza sa ramane constanta. Putem spune deci ca reteaua este stabila.
Totusi am vazut ca cererea de putere variaza continuu, astfel ca mai degraba Pc este mai mare decat PT si viteza grupului turbina-generator incepe sa scada. Din contra, daca Pc este mai mica decat PT, viteza incepe sa creasca si daca diferenta intre cele doua puteri este mare, grupul risca chiar sa se ambaleze.
Schimbarea vitezei grupului este deci un excelent indicator de echilibru intre PT si Pc si in consecinta a stabilitatii retelei. Cand viteza scade, trebuie sa deschidem vanele mai mult si cand viteza creste trebuie sa reducem deschiderea vanelor, intotdeauna cu scopul de a mentine echilibrul intre Pc si PT. Bineinteles ca se poate actiona manual asupra mecanismului vanelor ghidandu-ne dupa indicatia furnizata de un tahogenerator, insa in practica se utilizeaza mereu un regulator de viteza automat.
Aceste regulatoare de viteza sunt extrem de sensibile, putand detecta variatii de viteza de 0,02%. De exemplu, cand viteza trece de la 1800rot/min la 1799,64rot/min, aceste regulatoare incep sa actioneze asupra mecanismului vanelor. Cand sarcina creste brusc, viteza scade momentan, insa regulatorul aduce imediat viteza la valoarea sa normala. La fel se intampla cand cererea de putere scade brusc, viteza creste rapid pentru a reveni la valoarea normala.
Evident, orice variatie a vitezei de rotatie provoaca aceeasi variatie a frecventei retelei. Variatia de frecventa, ca si variatia de viteza este deci un excelent indicator al stabilitatii unei retele. Reteaua este stabila cand frecventa sa ramane constanta.
Regulatoarele de viteza ale centralelor termice si nucleare (fig.3.1) functioneaza de aceeasi maniera cu exceptia ca deschiderea si inchiderea supapelor de vapori trebuie sa fie insotite de cate o variatie corespunzatoare a intensitatii combustiei. Astfel, intr-un cazan cu carbune, trebuie redus focul cand se inchid vanele, altfel exista riscul sa explodeze cazanul.
Se considera cele trei centrale din figura 3.2. Ele pot evident alimenta retelele proprii respectiv R1, R2 si R3. Frecventele pot fi deci diferite si o perturbare a unei retele nu o afecteaza pe cealalta. Totusi exista un avantaj in a lega retelele prin linii de interconexiune (fig.3.2) acest fapt raspunzand la trei exigente:
-stabilitatea retelei;
-continuitatea serviciului;
-economia.
1. Stabilitatea
Retelele interconectate formeaza un ansamblu care este mai puternic decat retelele individuale. Rezulta ca aceasta mare retea poate suporta mai bine perturbatiile decat o centrala individuala, deci este mai stabila. De exemplu, daci sarcina creste brusc pe reteaua Ri, se produce imediat un transfer de energie prin liniile de interconexiune astfel ca suprasarcina este suportata de catre trei centrale in loc de una singura.
Continuitatea serviciului
De aceeasi maniera, daca o centrala se defecteaza sau daca trebuie debransata pentru a face reparatii de intretinere, consumatorii sai pot fi alimentati temporar de catre celelalte doua centrale. Energia este astfel transportata prin liniile de interconexiune catre centrala de care are nevoie.
Economia
Cand centralele sunt interconectate, se poate repartiza sarcina intre cele trei centrale astfel incat costul de functionare global sa fie minim. De exemplu, in limpui noptii, in loc de a tine in functiune toate centralele la 30% din capacitate, putem opri complet o centrala si permite celorlalte de a suporta intreaga sarcina. In ;icest fel se reduce la 0 costul de functionare a uneia dintre centrale si se creste randamentul celorlalte doua, caci ele debiteaza o putere apropriata de puterea lor nominala.
Companiile de electricitate au deci avantajul de a-si grupa resursele cu ajutorul liniilor de interconexiune. Un birou de dispecerat central repartizeaza sarcina totala intre diversele centrale si companii, adesea cu ajutorul calculatorului. Acest birou este insarcinat totodata sa prevada variatiile de cerere zilnice si sezoniere si sa vegheze continuu la buna functionare si la stabilitatea ansamblului de retele. New lingland Power Exchange, de exemplu, coordoneaza resursele a treisprezece companii de electricitate deservind statele Connecticut, Rhode Island, Maine si New Hampshire. Ea comanda in acelasi timp schimburile de energie intre aceasta i/norma retea si cele ale New York-ului si Canadei.
Bineinteles ca retelele astfel interconectate trebuie sa functioneze la aceeasi frecventa si putem repartiza sarcina intre centrale dupa un program determinat. De exemplu, daca o centrala trebuie sa suporte o sarcina mare, este suficient de a actiona asupra regulatorului sau de viteza cu scopul de a deschide mai mult vanele. Surplusul astfel furnizat de catre o centrala scade puterea totala debitata de celelalte centrale.
O pana majora pe o retea creeaza o stare de urgenta si trebuie .reactionat imediat pentru ca perturbatia sa nu atinga alte retele. Pierderea unei sarcini mari, pierderea unui generator mare si deschiderea neprogramata a unei linii de interconexiune constituie defecte majore.
Cand se pierde o sarcina importanta, viteza turbinelor creste si frecventa creste in toata reteaua. in acelasi fel, cand se pierde un generator, viteza turbinelor si frecventa retelei scad foarte repede, uneori intr-un ritm de 5Hz pe secunda. in aceste circumstante nu este timp de pierdut si mijloacele conventionale nu sunt suficiente pentru a readuce frecventa la valoarea nominala, trebuie sa deconectam imediat una sau mai multe sarcini mari. Astfel, relee sensibile la frecventa intrerup linii predeterminate pe masura ce frecventa scade. De exemplu, se poale deconecta 15% din sarcina cand frecventa scade la 49,3Hz, se poate deconecta inca 15% cand frecventa atinge 48,9Hz si in sfarsit se poate intrerupe o ultima transa de 30% cand frecventa scade la 48Hz. Aceasta intrerupere de sarcini trebuie sa se faca in mai putin de o secunda pentru a permite "salvarea' sarcinilor considerate cele mai importante. Cat despre consumatorii deconectati, problema este grava, caci o repunere in serviciu ia timp si creeaza probleme serioase in toate sectoarele: ascensoare oprite intre etaje, cuptoare cu arc care se racesc, hartie in productie care se depreciaza, semafoare care se sting etc. Din aceste cauze exista tot interesul de a mentine un serviciu neintrerupt.
S-a observat ca majoritatea defectelor sunt datorate scurtcircuitelor de scurta durata. Ele sunt adesea cauzate de fulgere, de ploaie sau de supratensiunile aleatoare create prin deschiderea si inchiderea intrerupatoarelor. Aceste fenomene produc in cea mai mare parte a timpului un scurtcircuit intre doua faze sau intre o faza si nul. Scurtcircuitele trifazate sunt rare. Daca intrerupem linia, scurtcircuitul se poate stinge imediat si putem reinchide imediat linia fara ca scurtcircuitul sa reapara (scurtcircuit trecator). Se poate deci adesea evita ramanerea in pana permanenta a unei regiuni prin simplu fapt de a deschide si inchide rapid un circuit.
Din intreaga productia de energie electrica, un procent de.70% este realizata prin transformarea energiei calorice succesiv in energie mecanica si apoi in energie electrica, in instalatiile centralelor termoelectrice. Cea mai mare parte a instalatiilor unei centrale termoelectrice (CTE) sunt instalatii neelectrice, in care fluidul termic suporta un lant de transformari. in turbina se produce destinderea agentului termic (aburului) si apare un cuplu mecanic la arborele masinii. Acest cuplu este aplicat la arborele unui generator electric (antrenat de turbina), la bornele acestuia obtinandu-se energia electrica.
In CTE se realizeaza o aplicatie a principiului al doilea al termodinamicii. Se obtine lucru mecanic prin evolutia unui fluid intre o sursa calda si una rece. Sursa calda este cazanul in care fluidului i se comunica o cantitate de caldura obtinuta prin arderea unui combustibil, iar sursa rece este apa de racire a termocentralei.
Pentru caracterizarea termodinamica a unor procese se folosesc parametrii de stare ai fluidului: presiunea p, temperatura T, volumul specific v, energia interna u, entalpia i, entropia S. intr-o transformare, fluidul sufera o evolutie in care se modifica parametrii de stare. Functiile ce caracterizeaza procesul de transformare suni: T =f(S), i = f(S), p =f(v). Parametrii ce caracterizeaza variatia fluidului sunt cantitatea de caldura q, lucrul mecanic L.
entalpia i se poate exprima pe baza relatiei (3.1): ![]()
Cantitatea de caldura q asociata unei transformari de Ia
starea 1 la starea ![]()
bntropia pentru o transformare
reversibila se poate exprima pe baza rela|ici (U): ![]()
unde: Tn, vn caracterizeaza starea normala, iar T, v caracterizeaza o stare oarecare;
cn este caldura specifica la volum constant;
A, R constante ale gazului.
Caldura transformata intre .starea 1 si starea ![]()
Modalitatea obtinerii lucrului mecanic prin evolutia fluidului intre o sursa calda si una rece este demonstrata de ciclul Carnot (fig 3.4). Ciclul ideal Carnot prezinta transformarile:
-izoterma in care fluidul primeste caldura de la sursa calda (transformarea AB);
-destindere adiabata in masina termica, obtinandu-se lucrul mecanic (transformarea BD);
-izoterma in care fluidul cedeaza o cantitate de caldura Q2 catre sursa rece
(transformarea DC);
-compresie adiabata in care fluidul isi regaseste parametrii initiali
(transformarea CA).
Lucrul mecanic, dezvoltat pe baza diferentei dintre Qi si Q2 este dat de relatia (3.5) si reprezinta o marime proportionala cu suprafata ABCD:
L = Q1-Q2 (3.5)
Observatie:
-transformarea izoterma are loc la temperatura constanta;
-transformarea adiabata are loc fara schimb de caldura S = ct, q = ct.;
-transformarea izobara are loc la presiune constanta;
-transformarea izocora are loc la volum constant.

Ciclul Carnot este ideal, dar fluidele reale au particularitati termodinamice care modifica forma ciclului (amestecul apa - abur folosit in CTE are particularitati legate de curbele de fierbere). Forma reala a ciclului devine cea din fig.3.5, corespunzatoare ciclul Hyrn-Rankine.
In timpul unei reactii chimice, moleculele a doua substante se combina pentru a forma o noua substanta, Astfel, din combinarea unui atom de sodiu (Na) cu un atom de clor (CI) rezulta o molecula de sare de masa (NaCl). Unele reactii chimice, mai ales acelea in care sunt implicati atomi de oxigen, nu numai ca produc o noua substanta dar in acelasi timp degaja si energie sub forma de caldura. in unele ! reactii, caldura degajata este atat de mare incat cresterea de temperatura duce la j
incandescenta si se produce ceea ce noi numim Coc. Acest tip de reactie este una de combustie.
oxigenul din aer reactioneaza cu atomii de carbon (C), de hidrogen (H), de sulf (S) si cu loale substantele care contin acesti atomi. Astfel se explica combustia carbunelui, a lemnului, a pacurei si a gazului natural.
Asocierea atomilor de oxigen cu atomii de carbon, hidrogen, sulf etc, se face in proportii precise si cunoscute. Caldura degajata si noile substante obtinute pot fi determinate in prealabil daca se cunoaste natura combustibilului. Anexa 2 ne ofera delalii privind principalii combustibili si produse de combustie.
ligura 3.6 arata partile principale ale unei centrale termice, identificate dupa finii urmeaza:
/. Cazanul imens in care se arde combustibilul. Caldura este absorbita de apa cure circula printr-o serie de conductei Si, care inconjoara flacarile. Circulatia este lor|ala de pompa P1.
2. Rezervorul ce contine apa si vapori la presiune inalta. El constituie si punctul do plecare a vaporilor spre turbine si receptorul de apa de alimentare a returului. Vaporii sunt dirijati spre turbina de inalta presiune (IP) trecand prin supraincalzitorul S2. Acesta din urma este format dintr-o serie de tuburi asezate in cazan, ceea ce creeaza o crestere puternica a temperaturii vaporilor, in jur de .'()() C. Aceasta asigura vapori absolut uscati cu randament termic superior.
.1. Turbina de inalta presiune (IP) care permite o prima destindere a vaporilor in timpui careia o parte din energia termica este convertita in energie mecanica. Presiunea si temperatura de la iesirea turbinei IP sunt astfel mai scazute decat la intrare. Pentru a creste randamentul termic si pentru a evita o condensare prematura a vaporilor, acestia trec printr-un reincalzitor S3 compus din a treia serie de tuburi.
4.Turbina de medie presiune (MP) este asemanatoare cu turbina IP, singura
diferenta constand in dimensiunile sale mai mari, pentru a permite vaporilor sa se
destinda naai mult.
5.Turbina de presiune joasa (JP) care extrage restul de energie termica
disponibila din vapori, permitand vaporilor sa se destinda intr-un vid aproape
complet in interiorul condensatorului.
6.Condensatorul produce condensarea vaporilor gratie circulatiei apei reci
venite din exterior si circuland prin tuburile S4. O pompa de extractie P2 scoate apa calduta si o trimite prin reincalzitorul (7) spre pompa P3 ce alimenteaza cuptorul.
7.Reincalzitorul este un schimbator de caldura in care o parte din vaporii care au trecut prin turbina IP, reincalzesc apa de alimentare, dupa care, vaporii se condenseaza in condensator. Analizele termodinamice dovedesc faptul ca randamentul astfel obtinut este superior cazului vaporilor derivati in reincalzitor, care ajung la turbinele MP si JP trecand prin reincalzitorul S3.
8.Pompa de alimentare P3 care pompeaza apa de alimentare in interiorul rezervorului 2 si incheie astfel ciclul termic.
9.Arzatoarele produc arderea gazului, a pacurii sau a carbunelui pulverizat si
proiectat in interiorul cuptorului. inainte de a fi trimis in cuptor, carbunele este
transformat in pudra. in acelasi fel pacura este preincalzita si suflata in jet de
vapori pentru a creste suprafata de contact cu aerul din jur.
10.Ventilatorul care sufla aerul necesar combustiei.
11.Ventilatorul care aspira gazele arse, evacuandu-le prin cosul de fum.
realitate, o centrala contine si alte elemente si accesorii esentiale pentru asigurarea unui bun randament si a conditiilor de securitate. Astfel, exista vane de reglaj care permit controlul admisiei vaporilor in turbine, un sistem de epurare mentinand curatenia apei de alimentare, pompe ce mentin lagarele lubrifiate corespunzator etc. Totusi, componentele descrise sunt suficiente pentru a explica functionarea si problemele de baza ale unei centrale termice.
Schema simplificata a centralei termoelectrice
Schema simplificata a unei CTE cu turbine cu abur este cea din fig.3.7. Fluxul de abur este indicat cu linie groasa, fluxul de apa este indicat cu linie subtire, iar fluxul de abur condensat este indicat cu linie intrerupta. Elementele sale principale sunt: turbina T, cazanul C, supraincalzitorul SI, condensatorul Cd. Principiul de functionare al CTE este urmatorul:
-cazanul C este elementul in care fluidul primeste cantitatea de caldura Qi, prin arderea in focarul cazanului a combustibililor solizi, fiind mentinut la o presiune ridicata;
-apa in cazan se vaporizeaza (vapori saturati), iar vaporii sunt supraincalziti in incalzitorul SI. Aburul supraincalzit cu presiune mare este transportat la turbina T prin conducta de abur viu D;
-in turbina T, aburul se destinde de la presiunea mare de intrare pi, la presiune redusa P2;
-din turbina, aburul destins patrunde in condensatorul Cd (unde aburul se condenseaza); acest fenomen necesita mentinerea unui vid inaintat in condensator si a unei temperaturi scazute, cu ajutorul ejectorului Ej, care extrage aerul din condensator. Pentru functionarea ejectorului este necesar abur viu, care se extrage ti in conducta inainte de intrarea in turbina. Sursa rece (Cd) este aceea prin care se
extrage din aburul destins o parte de caldura Q2 si este reprezentata de apa de racire care circula prin circuitul de apa de racire, datorita actiunii pompei de apa de racire PAR;
-condensatul extras din condensator de pompa de condensat este recirculat si prelevat de pompa de alimentare a cazanului PAIC, care il aduce la parametrii de intrare in cazan.
Circuitul termic al centralei este prezentat de conturul termic AA|BCDEA (fig.3.5). Punctul A1 corespunde starii fluidului (apei) la intrarea in cazan (parametrii i4, p1). Portiunea AB reprezinta o transformare izobara in care se primeste caldura de la sursa calda (focarul cazanului), fluidul ramanand tot sub forma de apa. in punctul B incepe vaporizarea, iar temperatura ramane constanta (cresterea de entropie arata ca fluidul primeste caldura).
in punctul C vaporizarea s-a terminat si urmeaza supraincalzirea vaporilor de-a lungul izobarei CD, pana cand fluidul ajunge la entalpia i1. in timpul transformarii A1D, presiunea fluidului ramane constanta (presiunea PAIC).
Destinderea aburului in turbina corespunde verticalei DE
(transformare adiabata,
«in transformarea EA, intreaga cantitate de abur se
condenseaza, cedand caldura Q2 sursei reci (izoterma
3.2.3.2 Componentele unei centrale termoelectrice
1.Turbinele. Acestea contin .0 serie de palete dispuse in jurul unei roti solidare cu arborele. Vaporii deviati de aceste palete creeaza astfel un cuplu ^ mecanic puternic. Paletele sunt constituite din otel dur pentru a rezista la temperaturi inalte si la forte centrifuge intense.
Desi turbinele sunt cuplate impreuna pentru a antrena un singur generator, in unele centrale de mare putere, turbina IP antreneaza un generator in timp ce turbinele MP si JP sunt cuplate pentru a antrena un al doilea generator de aceeasi putere.
2.Condensatorul. Aproape jumatate din caldura degajata in cazan trebuie sa fie extrasa din vaporii care ajung la condensator. Sunt necesare astfel enorme cantitati de apa pentru racire. Apa venind dintr-o sursa exterioara circula prin tuburile condensatorului care functioneaza ca un schimbator de caldura.
Temperatura apei de racire creste de la
3.Turnul de racire. Daca centrala se afla intr-o regiune arida sau departe de un lac sau de un rau, trebuie sa gasim un mijloc de a raci condensatorul. Utilizam deci fenomenul de evaporare pentru a obtine racirea necesara. De exemplu, cand apa se evapora de pe suprafata unui lac, acesta din urma pierde o cantitate de energie importanta. Experientele ne demonstreaza ca o cantitate de caldura de 2,4MJ este pierduta pentru fiecare kilogram de apa evaporata, astfel ca apa lacului se raceste. Aceeasi racire se produce pentru orice masa de apa care se evapora.
Consideram de exemplu, un rezervor ce contine 100kg de apa, la o temperatura oarecare. Daca evaporam un singur kilogram, temperatura celor 99kg care raman, scade cu 5'C. Temperatura apei scade cu 5'C de fiecare data cand evaporam 1 % din masa ei.
Cum putem provoca evaporarea ? Este suficient sa expunem o suprafata de apa, cat mai mult posibil, la aerul inconjurator. Cel mai bun mod de a face lucrul aceasta este de a fractiona masa apei in picaturi (folosind o stropitoare) si de a sufla aer in ploaia astfel creata. in centrale, evaporarea este asigurata de enormele turnuri de racire. Ele evapora in jur de 2% din apa de racire necesara, desi aceasta pierdere trebuie compensata dintr-o sursa subterana, raulet sau un lac mic. 4. Pompa de alimentare cu apa
Pompa de alimentare cu apa ia vaporii condensati de condensator si ii trimite in rezervorul cazanului. Intr-o centrala moderna, puterea pompei este in jur de 1% din cea debitata de generator. Desi aceasta pare a fi o pierdere importanta, trebuie sa realizam faptul
ca ea ajuta la cresterea presiunii apei. Energia este deci recuperata in momentul trecerii sale (sub forma de vapori) prin turbine, astfel incat pierderile sunt efectiv nule.
3.2.3.3 Diagrama energetica a unei centrale termoelectrice
Centralele termice moderne se aseamana foarte mult si cele
mai multe functioneaza la o temperatura de
Randamentul global
al celei mai simple centrale termoelectrice, se exprima in functie de randamentul
instalatiilor componente conform relatiei (3.6): ![]()
unde: nc este randamentul cazanului 75-90%;
ncd este randamentul conductelor 98-99%;
nt este randamentul ciclului termic max 50%;
ntd este randamentul termodinamic al turbinei 70-90%;
nm este randamentul mecanic al turbinei 98-99%;
ng este randamentul generatorului 94-98%;
ntreste randamentul transformatorului 98-99%;
cSj este consumul serviciilor interne 12-15%.
Pentru randamentul global al CTE rezulta valori intre 25-30%, mai ales datorita valorii coborate a randamentului circuitului termic (prin insasi principiul de functionare).
Perfectionarea instalatiilor a permis construirea de CTE cu randamente de 40%.
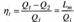
3.2.4.1 Randamentul termic
Randamentul termic al unei CTE se poate studia cu ajutorul ciclului Rankine cu notatiile din fig.3.5.
in functie de ariile aABCDEda, aAEda din ciclul AA|BCDE, ce exprima cantitatile de caldura Qi, respectiv Q2, randamentul devine:
![]()
![]()
, randamentul devine:
![]()
Prin exprimarea cantitatilor de caldura in functie de entalpiile corespunzatoare
Relatia 3.9 este
adevarata daca presupunem i3, = i4, adica daca se neglijeaza consumul de
energie in PAIC. Formula exacta a randamentului este:![]()
3.2.4.2 Metode de imbunatatire a randamentului termic
Metodele de imbunatatire a randamentului termic actioneaza fie prin cresterea caldurii Q1 (ridicarea parametrilor initiali ai aburului, supraincalzirea intermediara, ciclurile suprapuse), fie pentru micsorarea caldurii Q2 (micsorarea parametrilor finali ai aburului in condensator, preincalzirea regenerativa a apei de alimentare, termoficarea).
Toate metodele au drept scop marirea suprafetei ciclului ABCDEA prin diverse mijloace, ceea ce conduce la un randament global ngi = 4042%.
A. Modificarea parametrilor la intrarea sau iesirea din turbina
Cresterea presiunii initiale pi a aburului la intrarea in turbina, conduce la eresterea randamentului, dar dupa destinderea aburului, continutul de umiditate iTeste, ceea ce conduce la cresterea consumului pompei de alimentare.
Pentru a se mentine umiditatea aburului in limite
admisibile, se realizeaza cresterea simultana a temperaturii si presiunii
initiale.
B. Preincalzirea regenerativa a apei de alimentare
in fig.3.9 se prezinta cazul CTE cu preincalzitoarele PIi, Pfe, PI3 actionand I pentru preincalzirea apei inainte de intrarea in cazan. Fluxul de abur este indicat cu I linie groasa, fluxul de apa este indicat cu linie subtire, iar fluxul de abur condensat I este indicat cu linie intrerupta. Cu ajutorul prizelor 1, 2, 3 se extrag din turbina cantitatile de abur a1, a2, a3 ce sunt utilizate pentru preincalzirea apei la intrarea in cazan. Daca se considera n prize, randamentul circuitului termic este:
![]()
in acest mod randamentul creste cu 10 12% fata de randamentul unei centrale fara preincalzire regenerativa.
Recuperarea condensatului de la fiecare preincalzitor se face prin introducerea acestuia in circuitul apei de alimentare prin pompa de recirculare PCdP.
Exista doua feluri de preincalzitoare de suprafata si de amestec. Preincalzitoarele de suprafata sunt de tipul schimbator de caldura prin intermediul unei suprafete metalice. Preincalzitoarele de amestec au si rolul de degazor eliminand gazele CO2, O2 din apa de alimentare, pentru a evita coroziunea suprafetelor.
C. Supraincalzirea intermediara.
in cadrul acestei metode turbina este realizata din doua corpuri: de inalta presiune CIP, de joasa presiune CJP (fig.3.10a).
Destinderea in turbina T are loc intre entalpiile i1 si i5, apoi fluidul primeste o cantitate de caldura in supraincalzitorul intermediar SI, ajungand la entalpia i6 (portiunea D'D' din ciclul T= f(S), fig.3.10b).
D. Termoficarea
Realizarea circuitului termic cere prezenta a doua surse de caldura, una calda care cedeaza caldura Qi, si alta rece careia fluidul ii cedeaza caldura Q2 (pieduta). Termoficarea pleaca de la ideea utilizarii caldurii Q2 in procese industriale sau la incalzit. Centrala de termoficare livreaza consumatorilor si caldura si energie electrica astfel teoretic randamentul poate ajunge la 100%.
in fig.3.1.1 varianta a aburul se destinde in turbina pana la o entalpie i2 situata in zona aburului supraincalzit si, iesind din turbina, este trimis la consumatorul de caldura. Condensatul se intoarce in circuitul termic (turbina cu contrapresiune, fara condensator).
in fig3.11 varianta b turbina este cu condensator si prize reglabile. Circuitul are doua prize de caldura, una pentru consumatorul industrial (>200gradeC), si alta de termoficare urbana (~100gradeC).
Centralele cu turbine cu gaze (CTG) folosesc drept agent motor gazele si pot fi cu circuit deschis sau inchis.
in figura 3.12 este reprezentat circuitul deschis al unei CTG. Compresorul Cm absoarbe aerul din atmosfera (A), il comprima teoretic adiabatic (transformarea AB in diagrama circuitului), dupa care urmeaza arderea combustibilului la presiune i constanta (transformarea BC) si destinderea adiabata (transformarea CD) in turbina. gazeele sunt evacuate in atmosfera (punctul D), cedand caldura Q; !a presiune constanta.

Randamentul teoretic al instalatiei este (3.13):
n1=1-T1/T2
unde Ti, T2 sunt temperaturile la inceputul si respectiv la sfarsitul destinderii.
O parte din lucrul mecanic produs de turbina este folosit la antrenarea compresorului Cm, iar restul este transformat in energie electrica. La pornire compresorul este antrenat de motorul M.
La instalatiile cu circuit inchis agentul motor poate fi aerul amestecat cu gazele arse sau alte gaze. Evolutia fluidului este inchisa, reintroducerea lui in compresor lacandu-se dupa o racire prealabila.
Centralele cu turbine cu gaze au urmatoarele avantaje: simplitate, spatiu redus, randament bun, demaraj rapid, urmaresc foarte bine sarcina. Ele constituie centrale de rezerva, sau de varf. Dezavantajul acestora este limitarea consumului combustibililor de tip hidrocarburi.
Centralele hidroelectrice utilizeaza ca surse energetice primare caderile de apa naturale sau artificiale, transformand energia hidraulica a acestora in energie electrica, prin forma intermediara de energie mecanica.
Dupa natura surselor energetice primare centralele hidroelectrice se clasifica astfel:
-cu caderi naturale de apa (CHE);
-cu pompare-acumulare, caderea de apa fiind datorata diferentei artificiale de
nivel (CHEAP);
-mareo-electrice (CME).
Amenajarea hidroelectrica cuprinde mai multe constructii speciale pentru captarea si acumularea apei, pentru aducerea apei spre turbina si pentru eliminarea acesteia dupa utilizare.
Scopul amenajarilor hidraulice este: asigurarea unei caderi de apa cat mai mare, a unui debit de apa cat mai mare, uniformizarea debitului de apa prin compensarea variatiilor acestuia.
in Functie de caderea de apa, amenajarile hidraulice pot fi:
-mici h < 2()m;
-medii 2()m < h< lOOm;
-mari I OOm < h < 2000m.
in functie de modul in care asigura regularizarea debitului natural al cursului de ;ipn amenajarile hidraulice pot fi:
-fara acumulare;
-cu acumulare mica, cu rol de compensare zilnica, saptamanala sau lunara;
-cu acumulare medie, cu rol de compensare sezoniera;
-cu acumulare mare, cu rol de compensare anuala.
in functie de trasaturile principale ale schemelor de amenajare, centralele hidroelectrice se clasifica in:
-CHE pe firul apei;
-CHE in derivatie pe firul apei.
.13.2.1 Elementele principale ale unei centrale hidroelectrice
O centrala hidroelectrica are ca parti esentiale:
-barajul de retinere;
-conducta de aductiune;
-conducta de evacuare;
-uzina propriu-zisa.
Figura 3.14 reprezinta o vedere in sectiune a unei centrale hidroelectrice a carei uzina este alaturata barajului
Barajul de retinere (1) este amplasai in albia raurilor; rolul lor este de a concentra apa aproape de uzina si de a forma rezervoare de inmagazinare. Se pot crea astfel rezerve de apa pentru a compensa insuficientele de debit in timpul perioadelor de seceta si a asigura uzinei o alimentare cu apa mai uniforma.
Barajele pot fi din beton, din piatra sau din pamant. Barajele de tipul greutate sunt cele mai utilizate. Ele se opun fortei de impingere a apei prin masa lor proprie. Deversoarele instalate aproape de baraje sunt destinate a lasa sa treaca apa cand nivelul sau depaseste o anumita inaltime. Ele permit evacuarea unor debite considerabile de apa rezultate din topirea zapezilor sau provocate de ploi de lunga durata fara a periclita securitatea barajului.
Sarcina unei retele variaza considerabil in cursul unei
zile. Ea este foarte mica
Conducta de aductiune (2) conduce apa de la baraj (1) pana la turbine (6). Situata in exteriorul uzinei, ea este constituita dintr-un canal, un tunel sau o conducta. Partea interioara numita conducta fortata este din beton, otel sau fonta. La intrarea in conducta fortata se amplaseaza vanele (5) ce permit admisia controlata a apei.
La iesirea din conducta fortata, pentru amenajarile de joasa si medie cadere, apa este distribuita diferitelor turbine. Un sistem de admisie asigura repartitia uniforma a apei pe palete. Reglarea admisiei apei in turbina se realizeaza de catre regulatorul de viteza.
Conducta de evacuare are rolul de a evacua apa in albia raului dupa ce a trecut prin turbina. Conducta de evacuare are un camin de absorbtie (7) si un canal de fuga (8) care poate fi chiar albia raului.
Sala de comanda (3) grupeaza aparatele de comanda si control de unde personalul poate supraveghea functionarea grupurilor de generatoare. Aparatele de semnalizare si aparatele de comanda la distanta a excitatiei, a regulatorului de viteza si a intrerupatorului fiecarui grup generator sunt montate pe un pupitru.
Instrumentele de masura, indicatoare si inregistratoare (voltmetre, ampermetre, wattmetre, varmetre, contoare, frecventmetre, sincronoscoape etc), regulatoarele de tensiune ca si releele de protectie si diferitele sisteme de alarma sunt reunite pe panouri.
in figura 3.14 cu 4 este notat postul de transformare si cu H este notata inaltimea caderii de apa.
3.3.2.2 Schemele de amenajare a centralelor hidroelectrice
A. Shemele de amenajare a CHE pe firul apei.
Amenajarea cuprinde un baraj, care retine apa unui curs si o CHE amplasata in albia raului in imediata apropiere a barajului.
Dupa pozitia relativa ba raj -centrala, fata de axa longitudinala a vaii, se deosebesc doua tipuri de CI IE (lig. 3.15):
-CHE instalata in corpul barajului;
-CHE dispusa la piciorul barajului.
Pe latimea vaii dispozitia centralei poate fi (fig.3.16): a- la mijloc;
b- la una din extremitati;
c- la ambele extremitati (cand centrala este divizata in doua), in fig.3.16 centrala in baraj este reprezentata cu linie punctata, iar centrala la piciorul barajului este reprezentata cu linie plina.
Amenajarile pe firul apei pot avea urmatoarele caracteristici: J
-caderea de apa este mica sau medie;
-se folosesc cursuri de apa cu debite mari ;
-posibilitatile de acumulare sunt reduse;
in exploatare acestea sunt supuse unor variatii mari de putere disponibila, in functie de nivelul apei din amonte de baraj.
B. Schemele de amenajare a CHE in derivatie
Apele cursului sunt derivate pe un traseu care are o panta mai mica decat panta
naturala a raului. inaltimea amenajarii este suma dintre castigul de inaltime obtinut pe traseul amenajat si inaltimea barajului,
De-a lungul derivatiei, apa este condusa prin canale, galerii sau conducte de aductiune. Amenajarea traseului derivatiei se poate realiza prin:
a)ridicarea nivelului amonte (fig.3.17);
b)coborarea nivelului in aval (fig.3.18).


Schema CHE cu ridicarea nivelului in amonte (fig.3.17) are derivatia realizata printr-un canal de aductiune deschis 2, terminat cu un castel de apa 3, de la care apa este dirijata fortat prin conductele 4, spre centrala 5. Cu 7 se noteaza albia raului, iar cu 8 canalul de evacuare apa din centrala.
amplasare in subteran (ccnlrala 5). O galerie de fuga cu panta redusa 7, readuce apa Iu suprafata.
Schema mixta (fig.3.19) este o combinatie a celor doua solutii. in acest caz amenajarea contine: barajul 1, lacul de acumulare 2, canalul de aductiune 5, castelul de echilibru 6, putul fortat 7, centrala electrica 8, galeria de fuga 9. Apa din lacul de acumulare trece prin canalul de aductiune in castelul de echilibru, din care prin putul fortat alimenteaza centrala electrica, dupa care se evacueaza prin galeria de fuga in albia raului.
Am vazut ca variatia cererii de putere a unei retele necesita instalarea de centrale de varf. Consideram o retea simpla a carei cerere de putere variaza intre 100MW si 160MW conform curbei din figura 3.24. Am putea instala o centrala de baza de 100MW si o retea de varf de 60MW, aceasta utilizand o turbina cu gaz.,
in acelasi timp putem avea o a doua solutie. Ea consta in a instala o centrala de baza de 130MW si o centrala de varf speciala de 30MW. Aceasta centrala de varf va avea proprietatea, nu numai de a debita energie electrica, dar si de a consuma energie electrica. in timpul perioadelor de cerere minima (identificate prin semnul (-) pe figura 3.25), centrala de varf primeste si inmagazineaza energie de la centrala de baza. Apoi, in timpul perioadelor de varf (identificate prin semnul (+)) centrala de varf restituie retelei energia pe care a inmagazinat-o.
Acest sistem prezinta mai multe avantaje: 1) se poate utiliza o centrala de baza mai mare, ceea ce creste randamentul si 2) capacitatea centralei de varf este mai redusa ceea ce face sa scada costul ei.

Aceste cantitati enorme de energie nu pot fi inmagazinate decat prin metode mecanice. Astfel ca centralele conventionale se inlocuiesc cu centrale cu rezerva Dompata. in timpul orelor de varf aceste centrale functioneaza ca centrale
hidroelectrice clasice, utilizand energia apei care curge dintr-un rezervor superior inr-un rezervor inferior. in timpul perioadelor de minima cerere procesul se inverseaza. Generatoarele functioneaza acum ca motoare sincrone antrenand turbinele care devin pompe enrme ridicand apa din rezervorul inferior in rezervorul superior.
Ciclul se repeta o data sau de doua ori pe zi conform naturii retelei si sarcinii. Masinile au o putere cuprinsa intre 50MW si 500MW si trebuie sa fie reversibile, caci trebuie schimbat sensul de rotatie cand turbina functioneaza ca pompa. Pornirea acestor motoare sincrone enorme impune o sarcina mare, uneori utilizandu-se metode speciale pentru a evita o suprasarcina excesiva.
Centralele cu rezerva pompata completeaza cu succes centralele nucleare care ating randamentul maxim atunci cand functioneaza la debit constant.
Centralele nucleare produc electricitate pornind de le energia eliberata de la o reactie nucleara. Acest fenomen este provocat de scindarea nucleului unui atom, procedeu numit fisiune nucleara. De remarcat ca o reactie chimica cum ar fi arderea carbunelui produce o simpla regrupare a atomilor, fara ca nucleele lor sa fie afectate.
Folosirea energiei nucleare este singura alternativa tehnic realizabila in urmatoarele decenii. Centralele nuclearoelectrice (CNE) folosesc pentru producerea energiei electrice, energia nucleara inmagazinata in combustibilii nucleari. Fisiunea nucleara a unui kg de 235U elibereaza o cantitate de energie de 29-105 ori mai mare decat cea chimica eliberata prin arderea unui kg de combustibil clasic.
Energia nucleara se transforma in energie termica in reactorul nuclear, apoi in lucru mecanic si energie electrica. Din acest motiv CNE cuprinde doua parti distincte: partea nucleara si partea clasica.
O centrala nucleara este identica cu o centrala termica, diferenta consta in faptul ca, in cazul centralei nucleare, cazanul ce arde combustibilul folosit este inlocuit de un reactor ce contine combustibil nuclear necesar fisiunii. O astfel de centrala are in componenta sa o turbina cu vapori, un alternator, un condensator, etc, ca si in cazul unei centrale termice conventionale. Randamentul global este asemanator (intre 30% si 40%) si in cazul centralei nucleare fiind necesar un sistem de racire important, cea ce presupune amplasarea centralei langa un curs de apa sau constituirea unui circuit de racire.
Cantitatea de caldura extrasa din reactor de agentul de racire si introdusa in circuitul termic al centralei nuclearoelectrice furnizeaza, printr-o transformare termodinamica, lucrul mecanic regasit sub forma de cuplu mecanic la arborele turbinei.
Masina primara in ciclul termic este o turbina cu abur. Circuitul aburului din turbina poate fi cuplat direct sau indirect cu reactorul. in schemele cu o singura treapta a turbinei, agentul de racire al reactorului este in acelasi timp si agentul de lucru in turbina. La circuitele cu mai multe trepte, agentul de racire si agentul de lucru din turbina (aburul) sunt separate printr-un schimbator de caldura, in care se genereaza aburul.
Elementele componente ale unei centrale nucleare sunt in mare parte aceleasi cu cele ale unei centrale termoelectrice, dar cazanul este inlocuit cu reactorul nuclear si schimbatorul de caldura.
in fig.3.27 sunt prezentate principalele elemente componente ale unei centrale nuclearoelectrice: reactorul nuclear, circuitul agentului de racire reactor, pompele de circulatie pentru agentul de racire, schimbatorul de caldura, turbina, generatorul, condensatorul, pompele de alimentare, circuitul apei de racire.
in centralele nucleare se utilizeaza un abur cu parametrii net mai coborati decAt in centralele clasice. in figura 3.28 se poate vedea ca se pot realiza cicluri de transformare cu abur saturat AA1BCDA, sau cu abur supraincalzit AA|B'C'C'D'A, avand aceeasi diferenta intre temperaturile T1 si T2
in figurile 3.31, 3.32, 3.33 sunt reprezentate circuite de centrale indirecte, cu una sau doua trepte. Schemele din fig.3.31 si 3.32 au ca sursa de caldura, in circuitul primar, reactoare R racite cu apa sau apa grea sub presiune.
in schema din fig.3.31 se foloseste in circuitului secundar aburul saturat, obtinut in generatorul de abur GA. Solutia este utilizata in 45% din centralele nucleare.
Schema din Fig.3.32 este realizata cu abur supraincalzit in supraincalzitorul SI cu combustibil clasic. Desi se obtine un spor de randament, combinatia a doua categorii de instalatii, nucleare si clasice, creeaza probleme de exploatare si conceptie.

Schema din fig.3.33 foloseste reactoare racite cu gaz, cu moderator grafit. Gazul este recirculat de ventilatorul V, prin generatorul de abur GA. Daca racirea se face cu CO2 sau He conditiile de transfer de caldura sunt mai bune, ceea ce face posibila realizarea unui supraincalzitor intermediar pentru aburul destins in primul corp al turbinei.
in CNE se acorda o atentie particulara masurilor de protectie in diverse zone ale circuitului termic. Zona activa si reflectorul reactorului sunt separate de exterior printr-un ecran biologic primar. Aceasta ecranare se dimensioneaza impotriva: radiatiilor de neutroni si radiatiilor 7. in incaperile adiacente (in circuitele de racire
si in instalatiile auxiliare) radioactivitatea este mai redusa. intreaga instalatie este inconjurata cu un al doilea ecran biologic secundar, realizat din pereti cu o grosime mai mica. Materialele folosite pentru aceste ecrane sunt betonul armat si apa, iar dimensiunile sunt de ordinul a cativa metri.
|